Bảng giá đất TP.Hải Phòng từ năm 2026

Thứ tư - 17/12/2025 20:58
TP.Hải Phòng ban hành Nghị quyết số 85/NQ-HĐND quy định bảng giá đất lần đầu trên địa bàn thành phố, hiệu lực từ 1.1.2026.
TP.Hải Phòng ban hành Nghị quyết số 85/NQ-HĐND quy định bảng giá đất lần đầu trên địa bàn thành phố, hiệu lực từ 1.1.2026.

Theo đó, Nghị quyết số 85/NQ-HĐND bao gồm 4 Phụ lục: Phụ lục I - Bảng giá đất nông nghiệp; Phụ lục II - Bảng giá đất ở, đất thương mại dịch vụ, đất cơ sở sản xuất phi nông nghiệp, đất sử dụng cho hoạt động khoáng sản tại nông thôn; Phụ lục III - Bảng giá đất ở, đất thương mại dịch vụ, đất cơ sở sản xuất phi nông nghiệp, đất sử dụng cho hoạt động khoáng sản tại đô thị; Phụ lục IV - Bảng giá đất khu công nghiệp, cụm công nghiệp.

Tại bảng giá đất này, các tuyến đường có giá đất ở (VT1) cao nhất, lần lượt:

Đồng loạt niêm yết mức giá cao nhất lên tới 160 triệu đồng/m2 là các khu vực: Đường Quang Trung (thuộc phường Hồng Bàng); đường Tô Hiệu (thuộc phường Lê Chân), đoạn từ Cầu Đất đến Ngã tư An Dương; Đường Nguyễn Đức Cảnh (thuộc phường Lê Chân và Phường An Biên), đoạn từ Cầu Đất đến Ngã tư Trần Nguyên Hãn; Đường Cầu Đất (thuộc phường Lê Chân và phường Gia Viên).

Với mức giá 150 triệu đồng/m2, người mua sẽ được sở hữu mặt bằng đắc địa tại các vị trí: Đường Trần Phú (thuộc phường Lê Chân và phường Hồng Bàng), đoạn từ Ngã tư Cầu Đất đến Ngã tư Điện Biên Phủ, và đường Điện Biên Phủ, đoạn từ Cầu Lạc Long đến Ngã tư Trần Hưng Đạo; Đường Trần Hưng Đạo (đoạn từ Ngã tư Cầu Đất đến Ngã tư Điện Biên Phủ, thuộc phường Hồng Bàng); Đường Điện Biên Phủ (đoạn từ Cầu Lạc Long đến Ngã tư Trần Hưng Đạo, thuộc phường Hồng Bàng và phường Gia Viên/Ngô Quyền).

Đường Hoàng Văn Thụ (phường Hồng Bàng); Đường Đinh Tiên Hoàng (phường Hồng Bàng) cùng công bố ngưỡng giá 145 triệu đồng/m2.

Đường Lê Hồng Phong (đoạn từ Ngã sáu Máy Tơ, nút giao thông Lạch Tray đến Đường Nguyễn Bỉnh Khiêm, thuộc phường Ngô Quyền và phường Gia Viên): 120 triệu đồng/m2.

Tuyến đường có giá đất ở (VT1) thấp nhất (trừ Đặc khu Bạch Long Vỹ) nằm tại tuyến đường trục chính các Tổ dân phố Chín Thượng; Trại Sắt (thuộc phường Nguyễn Trãi) có giá 2 triệu đồng/m2.

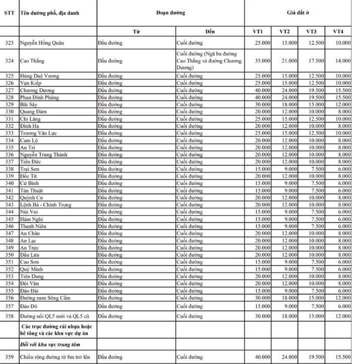
Chi tiết bảng giá đất TP Hải Phòng năm 2026 một số khu vực như sau:
P1 HP 01
P2 HP 01
P3 HP
P4 HP 01
Nhãn
P5 HP
P6 HP 01
P7 HP 01
HP 8
Bảng giá đất TP Hải Phòng mới nhất theo Nghị quyết số 85/NQ-HĐND
 
 
 

 

 

Tác giả: Hạ Linh

  Ý kiến bạn đọc

Những tin mới hơn

Những tin cũ hơn

Nằm yên bình soi bóng mình bên vịnh bắc bộ, Hải Phòng được gọi với cái tên Thành phố Hoa phượng đỏ và một cái tên nữa dù không chính thức nhưng cũng đã được dùng cho Hải Phòng từ những năm sau giải phóng thống nhất đất nước là Thành phố Cảng. Ngay từ cái tên của Thành phố đã mang lại cho các bạn...

Thăm dò ý kiến
Hải Phòng trong bạn là gì?
Bạn đã không sử dụng Site, Bấm vào đây để duy trì trạng thái đăng nhập. Thời gian chờ: 60 giây